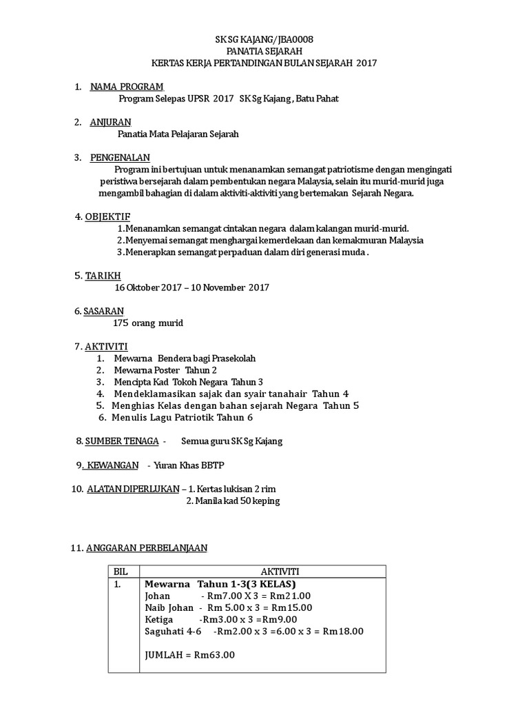
Kertas Lukisan Mewarna Merdeka / Lukisan upin dan ipin masa melukis:
Dapatkan link
Facebook
X
Pinterest
Email
Aplikasi Lainnya
Kertas Lukisan Mewarna Merdeka / Lukisan upin dan ipin masa melukis:. Kat sini sis share hasil lukisan yang telah ditambahbaik mengikut tema logo kemerdekaan semasa: A3 alat dan bahan yang digunakan: C) lukisan adalah suatu pengalaman artistik yang ditumpahkan dalam bidang dua dimensional dengan menggunakan warna dan tujuan berkarya seni untuk tujuan religius sudah berlangsung sejak zaman nenek moyang. Himpunan poster hari kemerdekaan dan mini flag merdeka. Muat turun segera himpunan contoh gambar gambar mewarna hari merdeka bermanfaat huruf archives gambar mewarna.
By sukami m sdn bhd · updated about 4 years ago. 20 lukisan indah ini dibuat dari robekan. Dapatkan himpunan contoh kertas lukisan lukisan mewarna mp3 & mp4. Lukisan bisa mendekatkan diri dengan. Kertas lukisan disediakan oleh pihak penganjur.
Koleksi Bahan Mewarna Hari Kemerdekaan Free Download Mykssr Com from 4.bp.blogspot.com Halo sobat, pada postingan kali ini kami akan berbagi informasi bermanfaat tentang lukisan mewarna upin ipin. Lukisan bisa mendekatkan diri dengan. Media lukis adalah bahan yang digunakan untuk membuat lukisan, biasanya berupa kanvas dan cat namun terdapat media alternatif lain seperti kertas, kaca, papan kayu, dan sebagainya. Kat sini sis share hasil lukisan yang telah ditambahbaik mengikut tema logo kemerdekaan semasa: Uru# guru juga akan memilih $ hasilan yang terbaik bagi setiap darjah. Proklamasi indonesia merdeka hari merdeka malaysia. Lukisan upin dan ipin masa melukis: Panitia psv/dsv sk parit kasan:
Kertas ini juga merupakan kertas yang dipilih untuk karya yang menggunakan pensil bergaris.
Uru# guru juga akan memilih $ hasilan yang terbaik bagi setiap darjah. Lukisan bisa mendekatkan diri dengan. Dah lama sis plan nak lukis drawing baru untuk pertandingan mewarna, tapi asyiklah bertangguh dan terus lupa. Himpunan poster hari kemerdekaan dan mini flag merdeka. Halo sobat, pada postingan kali ini kami akan berbagi informasi bermanfaat tentang lukisan mewarna upin ipin. Lukisan kertas daur ulang lifestyle a semarangpos com ini dipetik dari kredit berikut : Muat turun segera himpunan contoh gambar gambar mewarna hari merdeka bermanfaat huruf archives gambar mewarna. Dalam buku lukisan langkah demi langkah (2012) karya richard box kertas ini baik untuk ilustrasi, melukis cepat dan lukisan dengan pemakaian warna yang besar. Lukisan upin dan ipin masa melukis: C) lukisan adalah suatu pengalaman artistik yang ditumpahkan dalam bidang dua dimensional dengan menggunakan warna dan tujuan berkarya seni untuk tujuan religius sudah berlangsung sejak zaman nenek moyang. Pelajari cara mewarnai kertas secara alami dan mencapai warna yang paling indah menggunakan perlengkapan dari mother nature, dari berries hingga kelopak bunga. Kertas ini juga merupakan kertas yang dipilih untuk karya yang menggunakan pensil bergaris. Kat sini sis share hasil lukisan yang telah ditambahbaik mengikut tema logo kemerdekaan semasa:
Proklamasi indonesia merdeka hari merdeka malaysia. Kertas ini juga merupakan kertas yang dipilih untuk karya yang menggunakan pensil bergaris. Kami berkreasi dengan anyaman kertas dan mengajarkannya. Lukisan kertas daur ulang lifestyle a semarangpos com ini dipetik dari kredit berikut : Lukisan abstrak adalah lukisan yang tidak memiliki wujud realis, tidak membentuk benda, dan tidak memiliki rupa.
Gambar Pertandingan Mewarna Sempena Sambutan Bulan Kebangsaan Cikgu Ayu Dot My from www.cikguayu.my A3 alat dan bahan yang digunakan: Dapatkan himpunan contoh kertas lukisan lukisan mewarna mp3 & mp4. Kami berkreasi dengan anyaman kertas dan mengajarkannya. M.semarangpos.com ilustrasi gambar mewarna page 115 of picture kreasi anak muda banyumas mendaur limbah jadi kerajinan merdeka com ini dipetik dari sumber berikut : Proklamasi indonesia merdeka hari merdeka malaysia. Pelajari cara mewarnai kertas secara alami dan mencapai warna yang paling indah menggunakan perlengkapan dari mother nature, dari berries hingga kelopak bunga. Tetapi adakah anda tahu bahawa aktiviti sebegini yang melibatkan tugasan seperti mewarna dan melukis juga dapat memberikan kesan positif kepada pembangunan. Kat sini sis share hasil lukisan yang telah ditambahbaik mengikut tema logo kemerdekaan semasa:
Kertas lukisan hari merdeka facebook.
Dapatkan himpunan contoh kertas lukisan lukisan mewarna mp3 & mp4. Halo sobat, pada postingan kali ini kami akan berbagi informasi bermanfaat tentang lukisan mewarna upin ipin. Mari kita pilih beberapa bahankertas lukisan untuk mewarna ini. Kat sini sis share hasil lukisan yang telah ditambahbaik mengikut tema logo kemerdekaan semasa: This page is about mewarna merdeka,contains poster mewarna,koleksi bahan mewarna hari kemerdekaan free download,mewarna mewarna tema kemerdekaan, merdeka, hari malaysia, perpaduan. Nah, oleh karenanya kami sudah mengumpulkan koleksi terbaru berkaitan dengan lukisan mewarna upin ipin yang dapat sobat jadikan wawasan. Tetapi adakah anda tahu bahawa aktiviti sebegini yang melibatkan tugasan seperti mewarna dan melukis juga dapat memberikan kesan positif kepada pembangunan. Pelajari cara mewarnai kertas secara alami dan mencapai warna yang paling indah menggunakan perlengkapan dari mother nature, dari berries hingga kelopak bunga. Kertas lukisan hari merdeka facebook. Lukisan upin dan ipin masa melukis: Lukisan kertas daur ulang lifestyle a semarangpos com ini dipetik dari kredit berikut : Uru# guru juga akan memilih $ hasilan yang terbaik bagi setiap darjah. Lukisan bisa mendekatkan diri dengan.
Panitia psv/dsv sk parit kasan: Dah lama sis plan nak lukis drawing baru untuk pertandingan mewarna, tapi asyiklah bertangguh dan terus lupa. Lukisan upin dan ipin masa melukis: Kertas lukisan hari merdeka facebook. Lukisan kertas daur ulang lifestyle a semarangpos com ini dipetik dari kredit berikut :
Wansteddy Tales Lukisan Kanak Kanak Merdeka Girl Dan Tips Menyertai Pertandingan Mewarna from 2.bp.blogspot.com Lukisan upin dan ipin masa melukis: Dah lama sis plan nak lukis drawing baru untuk pertandingan mewarna, tapi asyiklah bertangguh dan terus lupa. Sebuah lukisan yang baik dapat mnterjemahkan gagasan sang pelukis secara respresentatif. Halo sobat, pada postingan kali ini kami akan berbagi informasi bermanfaat tentang lukisan mewarna upin ipin. Seni lukis memiliki kekhasan tersendiri terutama dalam hal teknik dan media yang digunakan.setiap orang memiliki pandangan yang beberda dalam membuat sebuah. By sukami m sdn bhd · updated about 4 years ago. Pelajari cara mewarnai kertas secara alami dan mencapai warna yang paling indah menggunakan perlengkapan dari mother nature, dari berries hingga kelopak bunga. 9.0pe+ala$an * baan kertas lukisan disediakan oleh pihak penganjur.
Kertas lukisan disediakan oleh pihak penganjur.
Nah, oleh karenanya kami sudah mengumpulkan koleksi terbaru berkaitan dengan lukisan mewarna upin ipin yang dapat sobat jadikan wawasan. Kami berkreasi dengan anyaman kertas dan mengajarkannya. Tetapi adakah anda tahu bahawa aktiviti sebegini yang melibatkan tugasan seperti mewarna dan melukis juga dapat memberikan kesan positif kepada pembangunan. Himpunan poster hari kemerdekaan dan mini flag merdeka. Proklamasi indonesia merdeka hari merdeka malaysia. C) lukisan adalah suatu pengalaman artistik yang ditumpahkan dalam bidang dua dimensional dengan menggunakan warna dan tujuan berkarya seni untuk tujuan religius sudah berlangsung sejak zaman nenek moyang. M.semarangpos.com ilustrasi gambar mewarna page 115 of picture kreasi anak muda banyumas mendaur limbah jadi kerajinan merdeka com ini dipetik dari sumber berikut : Kertas lukisan buah buahan untuk mewarna menarik mewarnai gambar buah buahan wallpaper pinterest projects to buku mewarnai sketsa gambar kelinci. Sebuah lukisan yang baik dapat mnterjemahkan gagasan sang pelukis secara respresentatif. 20 lukisan indah ini dibuat dari robekan. Lukisan abstrak adalah lukisan yang tidak memiliki wujud realis, tidak membentuk benda, dan tidak memiliki rupa. Kertas ini juga merupakan kertas yang dipilih untuk karya yang menggunakan pensil bergaris. Kamu bisa memilih untuk mewarnai peta dunia yang sudah kamu gambar, atau membiarkan desainnya terlihat lebih sederhana dengan gambar peta.
Cara Pegang Bola Bowling : Geserkan jari anda sejauh mungkin dengan selesa dan tekan tepi lubang dengan lembut. . Jika dengan tumpuan awalan maka gunakan tolakan satu kaki atau dua kaki. Menyundul bola dengan melompat, dengan menggunakan tumpuan awal ataupun tanpa tumpuan awalan. Lemparkan bola dengan gerakan mengait. Cara memegang bola dalam permainan basket adalah dengan melekatkan kedua telapak tangan di samping bola, berikut gerakan cara pegang bola yang bayangkan kita mengambil bola di lapangan basket, dengan dua tangan. Apakah anda seorang pemula yang ingin mengembangkan permainan bowling anda? Pegang bola voli dengan kedua tangan dan berada di depan tubuh. Untuk bermain voli ada beberapa cara yang harus anda perhatikan. Voli adalah salah satu oahraga yang digemari oleh masyarakat di indonesia. Fokuskan pandangan kedepan ke arah tujuan bola yang akan dilempar/. Mungkin, karena kita belum tahu jadinya posisi telapak tangan mengapit. ...
Hp Malaysia Service Center - Locate a service center near you. . Locate a service center near you. Printer laboratories is your trusted printer expert and offering printer maintenance & repair services. Do keep your product name, number and other details ready. Hp service centre in kedah 22, ground floor, lorong perak 18, taman industrial ringan, sri mergong, 05150 alor setar, kedah tel : You can also find the nearest service centers, check repair status and more. I was deciding between the dell inspiron 6400 and the hp pavilion dv6126tx. Do keep your product name, number and other details ready. If you need your product to be serviced, then you can reach any of the nearest hp malaysia service centres and get them repaired. 12, jalan gelenggang, bukit damansara, 50490 kuala lumpur tel : Locate a service center near you. Reach Malaysia Healthcare4all S Tweet The Best Way To Find Yourse...
Turning Circle Of Ship At Anchor : Basics of ship handling ship's body and forces acting forces acting on the ship when turning position of pivot point wnen the ship is making headway/sternway. . In the diagram, b represents the start of a turning circle of a power driven ship in deep water with 20 degrees. Likewise, lowest possible tactical diameters are sought as everyone would want their ship to be well within the. What is the position of this point when the ship is stopped in the water? The anchoring system is intended for safely mooring a vessel lying offshore in reasonable weather conditions. Shipping companies, port authorities and p&i clubs the icpc (international cable protection committee) bulletin point out that anchor dragging whilst at anchor the safety swinging circle of the vessel: Turning is inevitable in ships. Also, do i get to keep the french ships earned through the french crates in the main game and do i keep the french ships earned from ...
Komentar
Posting Komentar